Được sử dụng để mô tả hình dáng của màn hình, tỉ lệ hình ảnh cũng cho biết số pixcel có trong chiều rộng và chiều cao của bức ảnh. Ví dụ hình ảnh có tỉ lệ 3:2 có nghĩa là chiều rộng nó sẽ chứa 300 pixcel và chiều dài sẽ chứa 200 pixcel.

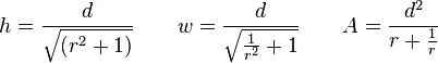
Khi biết thông số đường chéo và tỉ lệ hình ảnh, bạn có thể áp dụng công thức sau để tính ra chiều rộng, chiều cao và diện tích của ảnh:

Trong đó: h : chiều cao
w : chiều rộng
A : diện tích
r : tỉ lệ hình ảnh
d : chiều dài đường chéo
Truy cập tin tức ngành ảnh tại Binhminhdigital Hà Nội
Hiện nay, các máy ảnh có tỉ lệ phổ hiến nhất là 4:3; 3:2 và 16:9 (trong một số máy tiêu dùng). Các máy sử dụng định dạng cảm biến trung bình trở lên thì có tỉ lệ 5:3; 5:4 và 1:1.
Tỉ lệ hình ảnh 3:2
Máy phim 35mm và hầu hết máy ảnh ống kính rời DSLR – dòng sản phẩm được thiết kế để nối tiếp máy phim SLR đều sử dụng tỷ lệ 3:2. Nhằm mục đích in ra những tấm hình có kích thước tiêu chuẩn 4 x 6 inch nên những chiếc máy ảnh nhỏ gọn dùng cảm biến APS-C (cũ) cũng luôn phải cắt xén một chút hình ảnh để đạt tỉ lệ 1,5 này. Khi cài đặt máy ảnh ở tỉ lệ này, các bức ảnh có thể được chụp lại một cách dễ dàng dù bạn đặt màn hình ngang hay đứng. Định dạng tỉ lệ này cũng được tìm thấy trên cảm biến CMOS, nên các khu vực mà cảm biến này bao phủ sẽ được sử dụng một cách triệt để.
Tỉ lệ hình ảnh 4:3
Tỷ lệ hình ảnh phổ biến này được sử dụng bởi hầu hết các mẫu máy ảnh compact, máy ảnh định dạng Micro Four Thirds và Medium Format.
So với tỉ lệ ở trên, tỉ lệ hình ảnh này tạo cảm giác “cô đọng” do ngắn hơn, bức hình gây ấn tượng nhẹ nhàng khi trải ra ở hướng chiều ngắn. Vì rất gần với những khổ giấy A4 và B5 nên người dùng có thể tạo lập bố cục dễ dàng để in ảnh theo chiều ngang hay chiều dọc.

Tỉ lệ hình ảnh 16:9
Màn hình LCD (HD – High Definition) thường có tỷ lệ khung hình là 16:9. Vì có cạnh dài nhất trong số các dạng tỉ lệ màn hình nên hình ảnh hiển thị với tỉ lệ này thường trải dài theo hướng ngang. Tuy nhiên, khi muốn nhấn mạnh chiều cao của đối tượng, bạn cũng có thể sử dụng hướng thẳng đứng để tạo hiệu ứng. Tỉ lệ hình ảnh 16:9 tăng diện tích xem hơn 25% so với một hình ảnh tỉ lệ 4:3, vì vậy, bạn sẽ có nhiều không gian để xem hình hơn.
Tỉ lệ hình ảnh 1:1
Tỉ lệ vuông vức này được sử dụng bởi các máy ảnh medium format. Với tỉ lệ 1:1, đối tượng chính được nhấn mạnh bởi tập trung toàn bộ sự chú ý của người xem. Nó tạo sự cân bằng và tăng tính ổn định bố cục cho bức ảnh. Một điều thú vị nữa là định dạng hình ảnh tại tỉ lệ này sẽ làm nổi bật không khí hoài cổ cho bức ảnh của bạn và cũng rất phù hợp với các hiệu ứng đặc biệt Creative Filter.
Có thể thấy, việc thay đổi tỉ lệ hình ảnh có thể khiến bức hình của bạn trông khác biệt và ấn tượng hơn. Hiện nay, bạn có thể chỉnh trực tiếp tỉ lệ hình ảnh thông qua chức năng “Aspect ratio” trong menu máy ảnh hoặc thông qua phần mềm Digital Photo Professional trên máy tính.


Lorem Ipsum is simply dummy text of the printing and typesetting industry. Lorem Ipsum has been the industry’s standard dummy text ever since the 1500s, when an unknown printer took a galley of type and scrambled it to make a type specimen book.
